Product Summary
The FF200R12KE3 is an IGBT-Module.
Parametrics
FF200R12KE3 absolute maximum ratings: (1)collector emitter voltage: 1200V; (2)DC collector current: 200A; (3)repetitive peak collector current: 400A; (4)total power dissipation: 1050W; (5)gate emitter peak voltage: ±20V.
Features
FF200R12KE3 features: (1)forward voltage: 1.65V; (2)peak reverse recovery current: 150A; (3)recovered charge: 20μC; (4)reverse recovery energy: 9 mJ; (5)thermal resistance, junction to case: 0.20K/W.
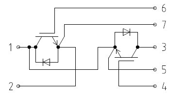
Diagrams

| Image | Part No | Mfg | Description | ![]() |
Pricing (USD) |
Quantity | ||||||||
|---|---|---|---|---|---|---|---|---|---|---|---|---|---|---|
![]() |
![]() FF200R12KE3 |
![]() Infineon Technologies |
![]() IGBT Transistors 1200V 200A DUAL |
![]() Data Sheet |
![]()
|
|
||||||||
![]() |
![]() FF200R12KE3_B2 |
![]() Infineon Technologies |
![]() IGBT Modules N-CH 1.2KV 295A |
![]() Data Sheet |
![]()
|
|
||||||||
(China (Mainland))









